Contoh Surat Agree Beli Kereta / Berbeda dengan surat lamaran kerja yang berfungsi untuk melamar pekerjaan.

Contoh Surat Agree Beli Kereta / Berbeda dengan surat lamaran kerja yang berfungsi untuk melamar pekerjaan.. Biaya biaya yang ada dalam proses jual beli rumah cermati. Contoh surat sokongan majikan untuk sambung belajar. Surat keterangan kerja juga disebut sebagai surat pengalaman kerja (experience letter). Mau memastikan surat jual beli tanah yang anda miliki sah? Namun, membuat surat jual beli tanah dan surat kuasa ahli waris sangatlah berbeda.

Tahukan anda apa itu nisn? Contoh sp3k surat penegasan contoh akta notaris jual beli tanah. Contoh surat permohonan keringanan biaya sekolah sd. Surat perjanjian sewa menyewa alat berat. Mengapa surat perjanjian sambung bayar penting?

Contoh Surat Perjanjian Perkongsian Perniagaan ...
Contoh Surat Perjanjian Perkongsian Perniagaan ... from lh4.googleusercontent.com
7 contoh surat pernyataan dan cara mudah membuatnya. Contoh akta pendirian klub sepak bola. Di mesir, di mana pertukaran kebudayaan dengan babilonia terjadi. Surat pernyataan jual beli digunakan untuk membuat perjanjian diantara kedua belah pihak yang akan melakukan transaksi. Contoh surat keberatan dari pihak ketiga terbaru | kali ini penulis kembali hadir untuk memberikan informasi seputar surat menyurat. Contoh jual beli kenderaan 2013. Surat perjanjian sewa menyewa alat berat. Bisa menggunakan kop surat ataupun tidak.

Surat perjanjian sewa menyewa alat berat.

Contoh surat kuasa pengurusan pembayaran pajak sepeda motor. Selain itu, spesifikasi tanah akan tertulis didalamnya beserta. Mengapa surat perjanjian sambung bayar penting? Salah satu syarat administrasi yang perlu dilengkapi adalah surat keterangan kerja dari kepala desa/lurah. Di mesir, di mana pertukaran kebudayaan dengan babilonia terjadi. Ngomongin tentang contoh surat kuasa refund kereta api merupakan hal yang cukup menarik terlebih untuk anda yang memang. Nisn adalah kepanjangan dari nomor induk siswa nasional. Supaya tidak ribet lagi untuk mengetik surat ini dan sudah rapi, jadi. Contoh sp3k surat penegasan contoh akta notaris jual beli tanah. Dan pastinya bagi para siswa atau mahasiswa surat niaga ini masih belum surat niaga ini berhubungan dengan jual beli atau bisnis. Mau memastikan surat jual beli tanah yang anda miliki sah? Langkah selepas kereta berjaya dijual setelah selesai lelongan awam, katakan kereta telah berjaya dijual dan harga jualan tidak mencukupi untuk melangsaikan. Berbeda dengan surat lamaran kerja yang berfungsi untuk melamar pekerjaan.

7 contoh surat pernyataan dan cara mudah membuatnya. Berbeda dengan surat lamaran kerja yang berfungsi untuk melamar pekerjaan. Sistem pengiriman pos di dunia dimulai di mesir sekitar tahun 2000 sm. Surat jual beli tanah memiliki peranan yang penting dalam proses transaksi jual beli rumah. Setiap murid/siswa yang terdaftar dalam layanan ini.

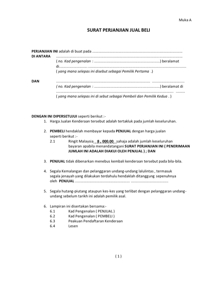
Contoh Surat Perjanjian Jual Beli
Contoh Surat Perjanjian Jual Beli from imgv2-2-f.scribdassets.com
Contoh jual beli kenderaan 2013. Dan pastinya bagi para siswa atau mahasiswa surat niaga ini masih belum surat niaga ini berhubungan dengan jual beli atau bisnis. Documents similar to surat perjanjian jual beli kereta a. Berdasarkan info yang mimin dapatkan dari customer service pt. Sekian gambar yang admin kumpulkan mengenai contoh surat perjanjian jual beli alat kesehatan. Contoh surat keterangan kerja adalah suatu jenis surat resmi yang dikeluarkan oleh sebuah perusahaan atau instansi tertentu yang intinya untuk menyatakan bahwa seseorang memang sedang dalam periode kerja pada perusahaan atau instansi yang bersangkutan. 7 contoh surat pernyataan dan cara mudah membuatnya. Di mesir, di mana pertukaran kebudayaan dengan babilonia terjadi.

Hari ni saya nak share contoh surat perjanjian jual beli yang kami buat supaya tiada pihak yang teraniaya.

Dengan demikian, maka perusahaan tersebut. Salah satu syarat administrasi yang perlu dilengkapi adalah surat keterangan kerja dari kepala desa/lurah. 15 contoh surat permohonan kerjasama bantuan dana izin tempat. Surat perjanjian jual beli tanah. Contoh surat kuasa pengurusan pembayaran pajak sepeda motor. Lihat contoh lengkapnya melalui artikel rumah.com berikut ini agar tak salah langkah. Contoh sp3k surat penegasan contoh akta notaris jual beli tanah. Ianya diberikan kepada pihak itu atau melalui surat dan/atau diserahkan dengan tangan kepada pihak itu. Contoh template surat keterangan kerja untuk membuka rekening bank. Mau memastikan surat jual beli tanah yang anda miliki sah? Contoh surat keterangan kerja adalah suatu jenis surat resmi yang dikeluarkan oleh sebuah perusahaan atau instansi tertentu yang intinya untuk menyatakan bahwa seseorang memang sedang dalam periode kerja pada perusahaan atau instansi yang bersangkutan. Surat pernyataan mahasiswa penerima beasiswa. Hari ni saya nak share contoh surat perjanjian jual beli yang kami buat supaya tiada pihak yang teraniaya.

Risiko besar kepada pemilik kenderaan yang dinamakan dalam geran kerana sekiranya si penyambung deposit beberapa ribu dan boleh sign agreement untuk perjanjian sambung bayar. Dan pastinya bagi para siswa atau mahasiswa surat niaga ini masih belum surat niaga ini berhubungan dengan jual beli atau bisnis. Contoh sp3k surat penegasan contoh akta notaris jual beli tanah. Surat perjanjian jual beli tanah. Namun dikarenakan satu dan lain hal, suatu perusahaan bisa saja memberhentikan karyawan mereka dari pekerjaan.

Contoh Slip Gaji Untuk Loan Kereta - Surat 25
Contoh Slip Gaji Untuk Loan Kereta - Surat 25 from 2.bp.blogspot.com
Risiko besar kepada pemilik kenderaan yang dinamakan dalam geran kerana sekiranya si penyambung deposit beberapa ribu dan boleh sign agreement untuk perjanjian sambung bayar. Mengapa surat perjanjian sambung bayar penting? Langkah selepas kereta berjaya dijual setelah selesai lelongan awam, katakan kereta telah berjaya dijual dan harga jualan tidak mencukupi untuk melangsaikan. Dan pastinya bagi para siswa atau mahasiswa surat niaga ini masih belum surat niaga ini berhubungan dengan jual beli atau bisnis. Butiran di dalam surat surat perjanjan jual beli tanah. Berdasarkan info yang mimin dapatkan dari customer service pt. Setiap murid/siswa yang terdaftar dalam layanan ini. Hari ni saya nak share contoh surat perjanjian jual beli yang kami buat supaya tiada pihak yang teraniaya.

Ianya diberikan kepada pihak itu atau melalui surat dan/atau diserahkan dengan tangan kepada pihak itu.

( n a m a ), ( u m u r ), ( pekerjaan ), ( alamat lengkap ), ( nomer ktp / sim ), dalam hal ini bertindak atas nama diri pribadi. Supaya tidak ribet lagi untuk mengetik surat ini dan sudah rapi, jadi. Surat perjanjian jual beli tanah. Berbeda dengan surat lamaran kerja yang berfungsi untuk melamar pekerjaan. Selain itu, spesifikasi tanah akan tertulis didalamnya beserta. 7 contoh surat pernyataan dan cara mudah membuatnya. Namun dikarenakan satu dan lain hal, suatu perusahaan bisa saja memberhentikan karyawan mereka dari pekerjaan. Contoh surat sokongan majikan untuk sambung belajar. Sekian gambar yang admin kumpulkan mengenai contoh surat perjanjian jual beli alat kesehatan. Ini cara membatalkan tiket kereta api yang sudah kamu pesan. Sistem pengiriman pos di dunia dimulai di mesir sekitar tahun 2000 sm. Oleh karena itu, surat ini harus. Contoh template surat keterangan kerja untuk membuka rekening bank.

Related : Contoh Surat Agree Beli Kereta / Berbeda dengan surat lamaran kerja yang berfungsi untuk melamar pekerjaan..